| 注意:访问本站需要Cookie和JavaScript支持!请设置您的浏览器! • 打开购物车 • 查看留言 • 付款方式 • 联系我们 |
![]() |
| 首页 | 电子入门 | 学单片机 | 免费资源 | 下载中心 | 商品列表 | 象棋在线 | 在线绘图 | 加盟五一 | 加入收藏 | 设为首页 |
| 选择分类:当前分类——实用电路 相关联或者相类似的文章: 单片机系统软件抗干扰方法(496) 受骗街头残局损失300元 棋迷找来高手讨回公道 (496) 手电筒电路(496) [原创]用PCF8563时钟芯片遇到的问题(496) 镍镉电池自动充电、放电器(496) 道德指向最大的利益[转载](495) 自制亚微秒脉冲幅值测试仪(495) 电力线载波报警器 (494) 老掉牙的芯片BA1404 (494) 断线防盗报警器(494) 断丝日光灯废管的利用(494) 本站贴片元件已经全部赠送完!(494) 音响发烧“土炮”的自画像(搞笑)(494) 4. 广告灯的左移右移(493) 电视机常用名词中英文对照(上)(492) 谨慎——害人不浅的单片机实验开发板(492) 单元电路图识图方法(492) 实用恒流充电器(492) ++ 电热毯温控器&n(491) 转载收藏——强烈质疑AVR单片机!(491) 首页 前页 后页 尾页 本站推荐: | 基于光电技术的脉搏测量方法 作者:不详 来源:本站整理 发布时间:2007-12-21 12:54:45 发布人:admin
摘要:脉搏测量是指检测脉博的有无,使用的传感器是红外接收二极管和红外发射二极管。信号经过放大后,送入单片机计数测量。为了克服干扰,设计了低通放大器。
2 脉搏信号的拾取
红外接收二极管在红外光的照射下能产生电能,单个二极管能产生O.4 V电压,0.5 mA电流。BPW83型红外接收二极管和IR333型红外发射二极管工作波长都是940 nm,在指夹中,红外接收二极管和红外发射二极管相对摆放以获得最佳的指向特性。红外发射二极管中的电流越大,发射角度越小,产生的发射强度就越大。在图 l中,RO选100 Ω是基于红外接收二极管感应红外光灵敏度考虑的。R0过大,通过红外发射二极管的电流偏小,BPW83型红外接收二极管无法区别有脉搏和无脉搏时的信号。反之,R0过小,通过的电流偏大,红外接收二极管也不能准确地辨别有脉搏和无脉搏时的信号。当红外发射二极管发射的红外光直接照射到红外接收二极管上时, IC1B的反相输入端电位大于同相输入端电位,Vi为“O”。当手指处于测量位置时,会出现二种情况:一是无脉期。虽然手指遮挡了红外发射二极管发射的红外光,但是,由于红外接收二极管中存在暗电流,仍有lμA的暗电流会造成Vi电位略低于2.5 V。二是有脉期。当有跳动的脉搏时,血脉使手指透光性变差,红外接收二极管中的暗电流减小,Vi电位上升。 3 信号的放大
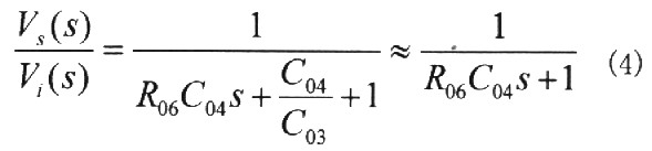
根据二阶低通滤波器的传递函数,可得
4 波形整形
5 结束语
采用二级放大好于三级放大,个别三级放大电路板的零点漂移大得足以达到满幅,使得测量不准确。每个单级放大器放大倍数最好不要大于30,以免自激振荡。 1、 本站不保证以上观点正确,就算是本站原创作品,本站也不保证内容正确。 2、如果您拥有本文版权,并且不想在本站转载,请书面通知本站立即删除并且向您公开道歉! |
|
本站协议 |
版权信息 |
关于我们 |
本站地图 |
营业执照 |
发票说明 |
付款方式 |
联系方式
深圳市宝安区西乡五壹电子商行——粤ICP备16073394号-1;地址:深圳西乡河西四坊183号;邮编:518102 E-mail:51dz$163.com($改为@);Tel:(0755)27947428 工作时间:9:30-12:00和13:30-17:30和18:30-20:30,无人接听时可以再打手机13537585389 |